욱이의 냉철한 공부
[통계기초] 확률변수와 확률분포함수 : 결합확률 본문
* 자료출저 및 참고강의
패스트캠퍼스 올인원 패키지(금융공학/퀀트) 장순용 강사님 인터넷 강의
*목차
1. 이변량 결합확률분포 : 공분산, 상관계수
2. 독립성과 상관성
3. 공분산과 상관계수
4. 여러 확률변수의 합 : 이변량, 다변량
5. 현대포트폴리오 이론(MPT : Modern Portfolio Theory)
1. 이변량 결합확률분포 : 공분산, 상관계수
- 이변량 결합확률분포
두 개의 확률변수 X와 Y에 대한 확률
이변량 결합확률분포 : P(x, y) = P(X=x, Y=y)
X = x AND Y = y일 확률
- 이변량 경합확률분포 : 공분산 (covariance)

- 이변량 경합확률분포 : 상관계수 (correlation)
상관계수의 값은 -1과 1사이의 값.
상관계수는 선형관계의 방향과 강도를 나타냄.
Cor(X,Y) > 0 : X, Y사이에 양의 선형관계가 있음.
Cor(X,Y) < 0 : X, Y사이에 음의 선형관계가 있음.
Cor(X,Y) = 0 : X, Y사이에 선형관계가 없음.

2. 독립성과 상관성
- 독립성
만약이 독립성을 가지고 있다면? : P(X, Y) = P(X)P(Y)
=> Cov(X, Y) = E[XY] - E[X]E[Y] = E[X]E[Y] - E[X]E[Y] = 0
-> 이것은 상관성이 없다는 것을 의미.
- 상관성
상관계수는 -1과 1사이의 수치.
상관성이 없다는 것은 상관계수가 0이라는 것을 의미.
하지만 이것이 독립성을 의미하지는 않음.
- 독립성과 상관성 문제


3. 두 확률 변수의 합
- 이변량

- 다변량

4. 현대 포트폴리오 이론(MPT:Modern Portfolio Theory)
- 포트폴리오
포트폴리오 = Port + Folio = (가지고 가다) + (서류/증권) =~ '서류철' or '서류가방'
- 현대 포트폴리오 통계값
1) N개의 자산으로 포트폴리오를 구성 (서브인덱스 i = 1, 2 .... N)
2) 비율 도출
개개 자산이 포트폴리오에서 차지하는 비율은 wi
-> wi는 w1 + W2 + .... W(N) = 1 제약 충족
3) 수익률 도출
개개 자산의 수익률을 확률변수 Ri로 나타내면, 포트폴리오 전체 수익률 Rp 도출
-> Rp = w1R1 + w2R2 + ..... + w(N)R(N)
4) 리스크(분산) 도출
포트폴리오 리스크는 수익률의 표준편차 𝜎p 또는 그것의 제곱인 분산 𝜎𝑃2 로 나타낼 수 있음.
5) 포트폴리오의 평균 수익률 도출
포트폴리오의 평균 수익률은 Rp의 기대값
-> E[Rp] = w1E[R1] + w2E[R2] + .... + wnE[R(N)]
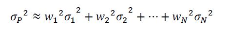
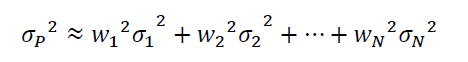
6) 개개 자신이 독립일 경우 리스크 도출

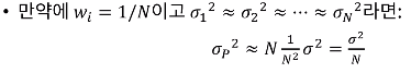
7) 만약에 "개개 자산이 차지하는 비율이 다 같다" and "개개 자산의 리스크(분산)이 비슷하다" 라면 ?

'데이터과학 > 개념 : Statistics' 카테고리의 다른 글
| [통계기초] 통계분석 : 통계적 추정 : 점추정, 구간추정 (0) | 2020.04.18 |
|---|---|
| [통계기초] 통계분석 : 통계적 추정 : 기술통계, 기본개념 (0) | 2020.04.18 |
| [통계기초] 확률변수와 확률분포함수 : 연속확률 (0) | 2020.04.17 |
| [통계기초] 확률변수와 확률분포함수 : 이산확률 (0) | 2020.04.16 |
| [통계기초] 확률 : 기본개념 (0) | 2020.04.16 |